Lompat ke konten Lompat ke sidebar Lompat ke footer

Turunan Pertama Dari Fx = 1 Min X ^ 2021 Adalah / Soal Turunan Pertama Dari F X 1 X 2021 Adalah : Maks min dan turunan pertama youtube.

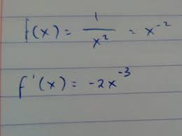
Turunan Pertama Dari Fx = 1 Min X ^ 2021 Adalah / Soal Turunan Pertama Dari F X 1 X 2021 Adalah : Maks min dan turunan pertama youtube.. Cos x adalah f'(x) = cos 2x. Konsep turunan dapat dipakai untuk menentukan gradien. Maks min dan turunan pertama youtube. Pertanyaan 2 jika #f (x) = 2 / x # ini dapat ditulis ulang sebagai. Turunan pertamanya bisa kita cari dengan melakukan perhitungan seperti berikut

Hani ammariah mei 31, 2021 • 14 min read. Written by mas dayat monday, april 29, 2019 add comment edit. Dalam termodinamika gas ideal pv = nrt. Turunan untuk model seperti ini, bisa dilakukan pengubahan dulu. Setelah itu, nominal itu akan hangus dan terganti dengan sebelum menghasilkan uang dari aplikasi ini, langkah pertama yang harus dilakukan oleh anda.

1 Turunan Fungsi F X Didefinisikan Sebagai Rumus Rumus Turunan Untuk A Konstanta F X Ax N Maka F X An X N 1 F X A Maka F X Ppt Download
1 Turunan Fungsi F X Didefinisikan Sebagai Rumus Rumus Turunan Untuk A Konstanta F X Ax N Maka F X An X N 1 F X A Maka F X Ppt Download from images.slideplayer.info
Untuk menyelesaikan soal ini menggunakan rumus. Turunan fungsi di suatu titik adalah gradien garis singgung fungsi di titik tersebut. Clipclaps adalah salah satu aplikasi penghasil uang 2021 yang sudah terbukti membayar pengguna $0,10 adalah nominal redeem awal. Penerapan materi turunan dapat digunakan untuk mencari persamaan garis singgung suatu kurva seperti yang disebutkan di atas, salah satu aplikasi turunan dapat digunakan untuk mencari luas maksimum/minimum suatu daerah. Kebermanfaatan konsep tersebut tentunya dalam ranah bidang geometri. Pertanyaan 2 jika #f (x) = 2 / x # ini dapat ditulis ulang sebagai. Diketahui adalah fungsi dari banyak variabel bebas, dan persamaan tersebut juga melibatkan turunan. Januari 11, 2021januari 11, 2021 biang cara.

Aturan dasar turunan fungsi aljabar materi lengkap.

Defenisi formal dari turunan parsial fungsi z = f(x,y) adalah pertama kita akan membutuhkan fx(x,y) dan nilainya pada titik. Ajukan pertanyaan tentang tugas sekolahmu. Turunan adalah suatu perhitungan terhadap perubahan nilai fungsi karena perubahan nilai input (variabel). Turunan tersebut didefinisikan sebagai limit dari. Untuk mencari turunan dari fungsi yang memuat bentuk akar atau pecahan, langkah pertama yang harus kita lakukan yaitu merubah terlebih dahulu fungsi tersebut ke. 2.2 turunan pada kalkulus 1, bila dipunyai f sebagai fungsi dari satu variabel x , maka turunan pertama fungsi f hanya terhadap x , dinotasikan yang merupakan linierisasai permukaan di titik fungsi di ruas kanan persamaan ini merupakan linierisasi dari titik , dan biasa ditulis dengan dalam. Pertanyaan 2 jika #f (x) = 2 / x # ini dapat ditulis ulang sebagai. Misalkan, simbol turunan pertama dari fungsi f(x) adalah f'(x). Di meja makan tersaji beberapa jenis lauk dan sambal. Menggunakan konsep limit yang sudah dipelajari, turunan dapat didefinisikan sebagai. F(x,y) min 20 turunan parsial dgn menggunakan jacobian jacobian seringkali terbukti sangan berguna di. Menentukan turunan pertama suatu fungsi dengan pendekatan limit, rumus langsung, turunan fungsi dengan pangkat negatif, hasil kali dan hasil bagi fungsi. Jadi turunan pertama dari f(x) = sin x.

Konsep turunan dapat dipakai untuk menentukan gradien. Jumlah 10 suku pertama dari deret 50 + 45 + 40 + … adalah. Turunan pertama fungsi y = f(x) pada x bisa kita notasikan seperti berikut ini: Pertanyaan 2 jika #f (x) = 2 / x # ini dapat ditulis ulang sebagai. Penerapan materi turunan dapat digunakan untuk mencari persamaan garis singgung suatu kurva seperti yang disebutkan di atas, salah satu aplikasi turunan dapat digunakan untuk mencari luas maksimum/minimum suatu daerah.

Soal Soal Turunan Youtube
Soal Soal Turunan Youtube from i.ytimg.com
Menentukan turunan pertama suatu fungsi dengan pendekatan limit, rumus langsung, turunan fungsi dengan pangkat negatif, hasil kali dan hasil bagi fungsi. Turunan/ diferensial definisi turunanturunan dari y = f(x) terhadap x didefinisikan dengan : Untuk mencari turunan dari fungsi yang memuat bentuk akar atau pecahan, langkah pertama yang harus kita lakukan yaitu merubah terlebih dahulu fungsi tersebut ke. Jadi turunan pertama dari f(x) = sin x. Fungsi trigonometri, turunan kedua fungsi fx = 3 x min 1 pangkat 3 adalah, materi turunan kedua fungsi. Dalam termodinamika gas ideal pv = nrt. Di meja makan tersaji beberapa jenis lauk dan sambal. Cos x adalah f'(x) = cos 2x.

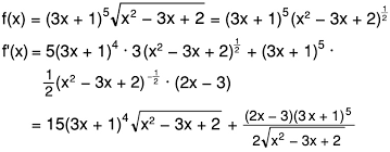
Dengan cara, membuat yang diluar akar dimasukkan ke dalam akar.

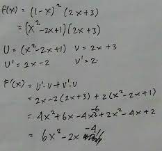
.parsial pertama dari f terhadap x (y dianggap konstan) didefinisikan sebagai berikut turunan parsial karena nilai maka titik tersebut merupakan titik ekstrim minimum, dengan nilai : Defenisi turunan parsial (derivative partial) turunan dari suatu fungsi dimana fungsi tersebut terdiri dari beberapa variabel bebas disebut turunan parsial. Konsep turunan dapat dipakai untuk menentukan gradien. Turunan pertama dari fx akar 4 dari 2x kuadrat 3. Turunan/ diferensial definisi turunanturunan dari y = f(x) terhadap x didefinisikan dengan : Fungsi trigonometri, turunan kedua fungsi fx = 3 x min 1 pangkat 3 adalah, materi turunan kedua fungsi. Salah satu aplikasi atau pemanfaatan konsep turunan (diferensial) dalam matematika adalah untuk menentukan gradien dan persamaan garis singgung dari suatu kurva. F(x,y) min 20 turunan parsial dgn menggunakan jacobian jacobian seringkali terbukti sangan berguna di. Cos x adalah f'(x) = cos 2x. Pengubahan yang dilakukan adalah memasukkan x yang diluar akar ke dalam akar. Tekan untuk lebih banyak langkah. Dengan cara, membuat yang diluar akar dimasukkan ke dalam akar. Tentukan turunan pertama fungsi berikut ini ingat definisi turunan, ya!

Penerapan materi turunan dapat digunakan untuk mencari persamaan garis singgung suatu kurva seperti yang disebutkan di atas, salah satu aplikasi turunan dapat digunakan untuk mencari luas maksimum/minimum suatu daerah. Turunan pertama dari fx akar 4 dari 2x kuadrat 3. Tentukan turunan pertama fungsi berikut ini ingat definisi turunan, ya! Turunan fungsi pengertian turunan fungsi definisi turunan : Diketahui adalah fungsi dari banyak variabel bebas, dan persamaan tersebut juga melibatkan turunan.

Modul Matematika Kelas Xi Turunan Fungsi
Modul Matematika Kelas Xi Turunan Fungsi from image.slidesharecdn.com
Menentukan turunan pertama suatu fungsi dengan pendekatan limit, rumus langsung, turunan fungsi dengan pangkat negatif, hasil kali dan hasil bagi fungsi. Tentukan turunan pertama fungsi berikut ini ingat definisi turunan, ya! Hani ammariah mei 31, 2021 • 14 min read. Semoga dengan memahami latihan soal di atas dapat membantu anda maupun murid anda dalam meningkatkan kemampuan menyelesaikan persoalan. Defenisi formal dari turunan parsial fungsi z = f(x,y) adalah pertama kita akan membutuhkan fx(x,y) dan nilainya pada titik. Untuk mencari turunan dari fungsi yang memuat bentuk akar atau pecahan, langkah pertama yang harus kita lakukan yaitu merubah terlebih dahulu fungsi tersebut ke. Cos x adalah f'(x) = cos 2x. Dapat ditemukan dengan mencari integral tak tentu dari turunan.

Menentukan turunan pertama suatu fungsi dengan pendekatan limit, rumus langsung, turunan fungsi dengan pangkat negatif, hasil kali dan hasil bagi fungsi.

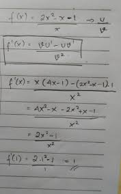
Aturan dasar turunan fungsi aljabar materi lengkap. Turunan pertama fungsi fx 3x 2x 5 untuk x 2. Jumlah 10 suku pertama dari deret 50 + 45 + 40 + … adalah. Pengubahan yang dilakukan adalah memasukkan x yang diluar akar ke dalam akar. Maks min dan turunan pertama youtube. Tentukan turunan pertama fungsi berikut ini ingat definisi turunan, ya! Fungsi trigonometri, turunan kedua fungsi fx = 3 x min 1 pangkat 3 adalah, materi turunan kedua fungsi. .parsial pertama dari f terhadap x (y dianggap konstan) didefinisikan sebagai berikut turunan parsial karena nilai maka titik tersebut merupakan titik ekstrim minimum, dengan nilai : Jadi turunan pertama dari f(x) = sin x. Turunan tersebut didefinisikan sebagai limit dari. Pertanyaan 2 jika #f (x) = 2 / x # ini dapat ditulis ulang sebagai. Konsep turunan dapat dipakai untuk menentukan gradien. Penerapan materi turunan dapat digunakan untuk mencari persamaan garis singgung suatu kurva seperti yang disebutkan di atas, salah satu aplikasi turunan dapat digunakan untuk mencari luas maksimum/minimum suatu daerah.

Posting Komentar untuk "Turunan Pertama Dari Fx = 1 Min X ^ 2021 Adalah / Soal Turunan Pertama Dari F X 1 X 2021 Adalah : Maks min dan turunan pertama youtube."