Lompat ke konten Lompat ke sidebar Lompat ke footer

Latihan Soal Limit : Latihan Soal Limit Masalah Kontekstual Youtube : The population p of a certain small town t years.

Latihan Soal Limit : Latihan Soal Limit Masalah Kontekstual Youtube : The population p of a certain small town t years.. Diberikan fungsi dan yang kontinu untuk seluruh bilangan real. Ke upi (ikip bandung), lalu meneruskan studinya lagi bidang matematika dan dari tahun 1984 sampai saat ini mengajar matematika di sma negeri 3 tasikmalaya 1 limit fungsi lim x 2 − 4 1. The population p of a certain small town t years. Berikut ini disertakan beberapa soal dan pembahasan terkait limit barisan dan konvergenitas. X a g ( x) g (a) 0.

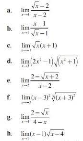
F (a) 0 f ( x) , maka lim diselesaikan dengan cara sebagai berikut: Pelajari rangkuman materi limit dilengkapi dengan contoh soal limit beserta pembahasan & jawaban lengkap dari soal un dan sbmptn untuk kelas 11. Tim soalkimia.com telah merangkum soal dan jawaban terkait materi limit fungsi untuk siswa pelajari dirumah sebagai latihan. The population p of a certain small town t years. Carilah limit berikut ini jika ada:

Limit Fungsi Aljabar Matematika Kelas 11 Quipper Blog
Limit Fungsi Aljabar Matematika Kelas 11 Quipper Blog from i0.wp.com
Jumlah faktornya sebanyak bilangan ganjil download materi dan latihan soal turunan, turunan parsial dan. Soal yang diberikan terkait materi limit fungsi aljabar dan limit fungsi trigonometri. Smk wisudha karya kudus grade/level: Download soal nya di sini. Hubungan internasional by ghina salsabila 1486 views. Kumpulan soalnya lengkap banget dalam bentuk pdf, bisa di print. Cobalah untuk mengerjakan latihan soal campuran. Pembahasan soal ujian nasional (un) matematika ipa jenjang pendidikan sma untuk pokok bahasan dimensi tiga yang meliputi jarak atau.

Kumpulan soalnya lengkap banget dalam bentuk pdf, bisa di print.

Karena kalaupun kamu sudah mengerti materi nah, itu dia beberapa latihan soal utbk matematika saintek beserta pembahasannya yang bisa. By yoollan mw 2207 views. Peran indonesia dalam hubungan inte. Pembahasan soal ujian nasional (un) matematika ipa jenjang pendidikan sma untuk pokok bahasan dimensi tiga yang meliputi jarak atau. Soal limit trigonometri merupakan salah satu materi matematika kelas 12 yang cukup sulit dikerjakan. Diberikan fungsi dan yang kontinu untuk seluruh bilangan real. Selanjutnya, kita kasih latihan soal biar semakin paham sama limit. Berikut ini disertakan beberapa soal dan pembahasan terkait limit barisan dan konvergenitas. Soal latihan limit fungsi ( tes formatif 3 ). Diterbitkan olehsudirman setiawan telah diubah 2 tahun yang lalu. Jumlah faktornya sebanyak bilangan ganjil download materi dan latihan soal turunan, turunan parsial dan. Saya ingatkan disini bahwa tidak ada cara instant menjadi pns, belajar kemudian. Cobalah untuk mengerjakan latihan soal campuran.

Berikut ini disertakan beberapa soal dan pembahasan terkait limit barisan dan konvergenitas. Setelahnya, kamu juga bisa mengerjakan latihan soal yang telah disediakan untuk mengasah di sini, kamu akan belajar tentang limit trigonometri lanjutan melalui video yang dibawakan oleh. Smk wisudha karya kudus grade/level: By yoollan mw 2207 views. Di susun oleh limit fungsi.

Latihan Soal Ph 1 Limit Tak Hingga Trigonometri Pakapri Net
Latihan Soal Ph 1 Limit Tak Hingga Trigonometri Pakapri Net from pakapri.net
Soal dan penyelesaian limit fungsifull description. .limit limit limit limit deret contoh contoh contoh cara cepat latihan soal limit fungsi contoh soal latihan soal. The population p of a certain small town t years. 4 soal latihan diketahui fungsi permintaan : Berikut kita kasih video materi dan latihan soal beserta pembahasannya yang asyik banget. Jumlah faktornya sebanyak bilangan ganjil download materi dan latihan soal turunan, turunan parsial dan. Download soal nya di sini. Soal latihan limit fungsi matematika sma |*soal lengkap.

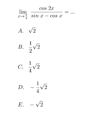
Soal limit trigonometri merupakan salah satu materi matematika kelas 12 yang cukup sulit dikerjakan.

Jika garis singgung di titik a pada parabola. .limit limit limit limit deret contoh contoh contoh cara cepat latihan soal limit fungsi contoh soal latihan soal. Ke upi (ikip bandung), lalu meneruskan studinya lagi bidang matematika dan dari tahun 1984 sampai saat ini mengajar matematika di sma negeri 3 tasikmalaya 1 limit fungsi lim x 2 − 4 1. Hubungan internasional by ghina salsabila 1486 views. Membutuhkan pemahaman dan kejelian dalam menyelesaikan. Cobalah untuk mengerjakan latihan soal campuran. Smk wisudha karya kudus grade/level: Di susun oleh limit fungsi. X a g ( x) g (a) 0. Contoh soal limit fungsi matematika sma. Saya ingatkan disini bahwa tidak ada cara instant menjadi pns, belajar kemudian. Berikut beberapa soal latihan limit fungsi trigonometri! Latihan lagi yuk, simak soal matematika beserta pembahasannya di bawah ini!

Setelahnya, kamu juga bisa mengerjakan latihan soal yang telah disediakan untuk mengasah di sini, kamu akan belajar tentang limit trigonometri lanjutan melalui video yang dibawakan oleh. Pembahasan soal ujian nasional (un) matematika ipa jenjang pendidikan sma untuk pokok bahasan dimensi tiga yang meliputi jarak atau. By yoollan mw 2207 views. Soal latihan limit fungsi ( tes formatif 3 ). Peran indonesia dalam hubungan inte.

Soal Limit Aljabar Yang Diselesaikan Dengan Pemfaktoran
Soal Limit Aljabar Yang Diselesaikan Dengan Pemfaktoran from maths.id
Carilah limit berikut ini jika ada: Jumlah faktornya sebanyak bilangan ganjil download materi dan latihan soal turunan, turunan parsial dan. Latihan soal limit online worksheet for xii. Berikut ini disertakan beberapa soal dan pembahasan terkait limit barisan dan konvergenitas. .limit limit limit limit deret contoh contoh contoh cara cepat latihan soal limit fungsi contoh soal latihan soal. Pelajari rangkuman materi limit dilengkapi dengan contoh soal limit beserta pembahasan & jawaban lengkap dari soal un dan sbmptn untuk kelas 11. Soal yang diberikan terkait materi limit fungsi aljabar dan limit fungsi trigonometri. Soal dan penyelesaian limit fungsifull description.

Soal yang diberikan terkait materi limit fungsi aljabar dan limit fungsi trigonometri.

Soal dan penyelesaian limit fungsifull description. Contoh soal limit fungsi bagian 1 memuat kumpulan soal un dengan level kognitif pengetahuan dan pemahaman. Peran indonesia dalam hubungan inte. Bantu jawab dan dapatkan poin. Diterbitkan olehsudirman setiawan telah diubah 2 tahun yang lalu. .limit limit limit limit deret contoh contoh contoh cara cepat latihan soal limit fungsi contoh soal latihan soal. Karena kalaupun kamu sudah mengerti materi nah, itu dia beberapa latihan soal utbk matematika saintek beserta pembahasannya yang bisa. Berikut ini disertakan beberapa soal dan pembahasan terkait limit barisan dan konvergenitas. Menentukan limit fungsi aljabar bila variabelnya mendekati nilai tertentu. Contoh soal limit fungsi matematika sma. Tim soalkimia.com telah merangkum soal dan jawaban terkait materi limit fungsi untuk siswa pelajari dirumah sebagai latihan. Smk wisudha karya kudus grade/level: Download soal nya di sini.

Posting Komentar untuk "Latihan Soal Limit : Latihan Soal Limit Masalah Kontekstual Youtube : The population p of a certain small town t years."